脂肪醇聚氧乙烯醚
2021-04-17
聯系人:陳經理 手機:18651391908 QQ:450608810
脂肪醇聚氧乙烯醚的簡介:
- 脂肪醇聚氧乙烯醚是用親水基原料環氧乙烷與疏水基原料高級醇進行加成反應而制得的。脂肪醇聚氧乙烯醚是非離子型表面活性劑中重要的一類產品,具有生化降解性優良的特點。
- 脂肪醇聚氧乙烯醚的外觀隨生產的原料和工藝而異,可以是液體狀或蠟狀,黏度隨環氧乙烷的含量增加而增加。相對密度從小于1增加到1.2以上。此類表面活性劑的親水基,由醚鍵結構和羥基二者組成。
- 疏水基上加成的環氧乙烷越多.醚鍵結合就越多,親水性也越強,越易溶于水。若分子中環氧乙烷含量約為65%~70%時,產品在室溫下即可全溶于水。
脂肪醇聚氧乙烯醚的合成:
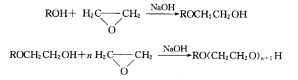
- 脂肪醇聚氧乙烯醚由脂肪醇(C10~C18的伯醇或仲醇)在堿催化劑(苛性堿或是甲醇鈉)存在下和環氧乙烷發生加成反應。由于脂肪醇聚氧乙烯醚的應用性能在很大程度上取決于聚氧乙烯醚的聚合度m所以如何使得到的產品中n的分布曲線zui窄,是脂肪醇聚氧乙烯醚生產中提高產品質量的關鍵。
- 脂肪醇聚氧乙烯醚的合成有兩個反應完成:

- 兩階段具有不同的反應速度。第一階段反應速度略慢,當形成一加成物(ROCH2CH2OH)后,反應速度迅速增長。但對于伯醇來說,其環氧乙烷反應生成一加物的速度接近于聚氧乙烯醚鏈增長的速度。
- 一般情況下,反應是將NaOH配成50%左右的水溶液,加入醇中,催化劑用量為脂肪醇的0.1%~0.5%(質量分數),真空下脫水,在溫度為135~140℃、壓力為0.1~0.2 MPa下與環氧乙烷反應,環氧乙烷加入量由制取聚合物的相對分子質量決定。
- 反應為放熱反應(92kJ/mol),溫度過高,產品色澤較深。脫水操作必須嚴格控制,水的存在會導致生成副產物聚乙二醇,它的存在會使產品的表面活性降低,產物中乙醛含量達到0.01%時,會使產品色澤加深。
脂肪醇聚氧乙烯醚的用途:
- 脂肪醇聚氧乙烯醚大量用于生產脂肪醇聚氧乙烯醚硫酸鈉(AES)。脂肪醇聚氧乙烯醚的物理性能使之不利于配制成洗衣粉,但卻是液狀洗滌劑的理想原料。它對各種纖維都有較烷基苯磺酸鈉更好的去垢能力,特別適用于由合成纖維織物上洗去人體排泄出的油脂污垢。脂肪醇聚氧乙烯醚在國內的商品牌號為平平加系列產品,除部分用于復配液狀洗滌劑外,主要在印染行業中作勻染劑、剝色劑,在毛紡工業中作原毛凈洗劑,而在化纖工業中作紡絲油劑。
- 脂肪醇聚氧乙烯醚可用作滌綸等合成纖維紡絲油劑的組分。在乳膠工業和石油鉆井液中作乳化劑。本品對硬脂酸、石蠟、礦物油等物具有獨特的乳化性能,是高分子乳液聚合時的乳化劑的組分。亦可作為玻璃纖維潤滑油的乳化劑。
- 本品可除去染料分散集結在織物上的污物,提高烷基苯磺酸鈉合成洗滌劑的去污能力,減輕織物的抗靜電效應。
- 脂肪醇聚氧乙烯醚在化學清洗中主要用作脫脂時的潤濕劑。油脂成分在酸液中幾乎同水不溶合,即使在堿溶液中也相當難溶解。為了加快乳化、強化同堿溶液的接觸,在堿洗時可使用脂肪醇聚氧乙烯醚等非離子表面活性劑作為濕潤劑。